Angajații Prefecturii Argeș, ca și ai altor prefecturi din țară, au intrat în această dimineață în grevă generală pentru salarii mai mari.

„Solicităm trecerea personalului angajat în prefecturi din categoria funcţiilor teritoriale în cea a funcţiilor de stat. Salarizarea personalului din cadrul instituţiilor prefectului trebuie să fie la nivelul funcţiilor publice de stat, având în vedere că instituţia prefectului este un organ de control al activităţii autorităţilor publice locale şi de conducere a serviciilor publice deconcentrate”, transmite Sindicatul Egalitatea al Funcţionarilor Publici şi Personalului Contractual din Administraţia Publică.

Sindicaliştii reclamă că salariul unui angajat din prefecturi este sub salariul unui angajat din consiliile județene, servicii deconcentrate și primării.

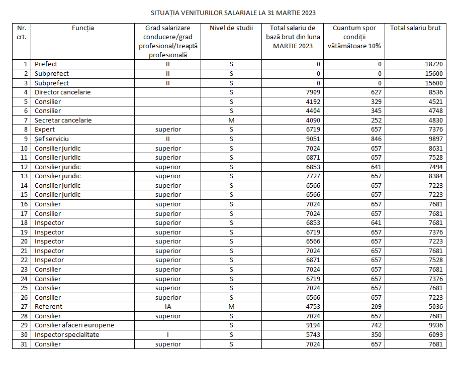
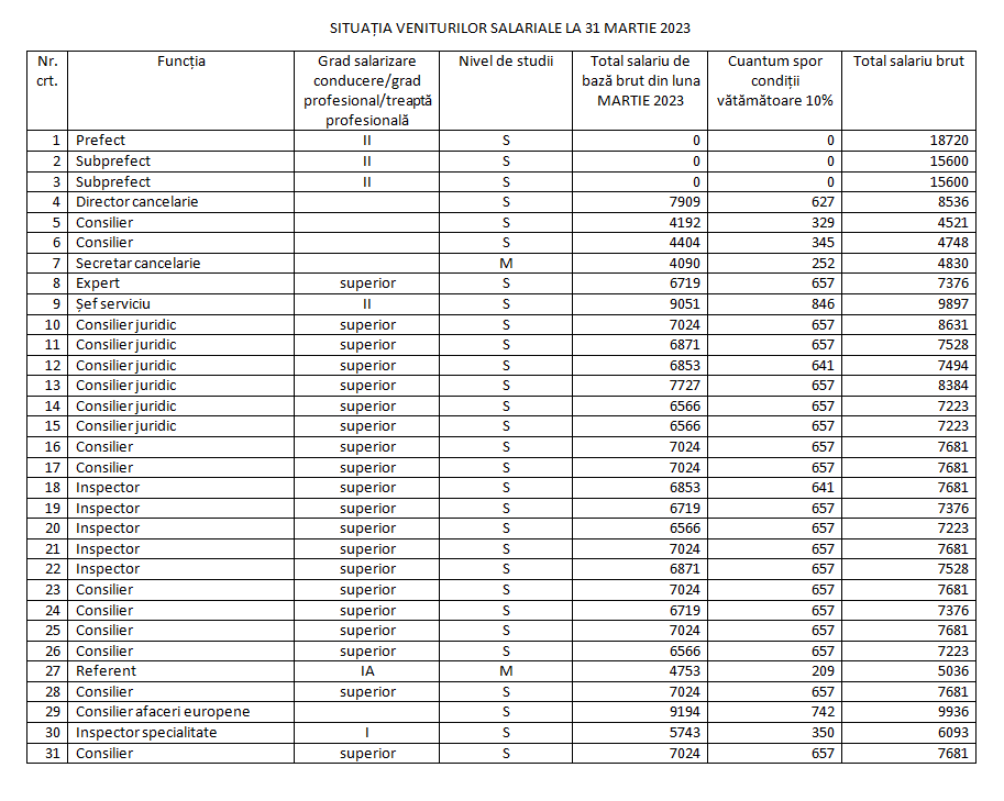
Iată care este situația la zi a veniturilor salariale din Prefectura Argeș, cu precizarea că aproape toți angajații, cu excepția prefectului și a subprefecților, beneficiază de un spor de 10% pentru muncă în condiții vătămătoare:

Distribuie
Mai multe articole similare
Mai multe de Mihai Paul Codunas
Mai multe în Administrație

Lasă un răspuns

Adresa ta de email nu va fi publicată. Câmpurile obligatorii sunt marcate cu *