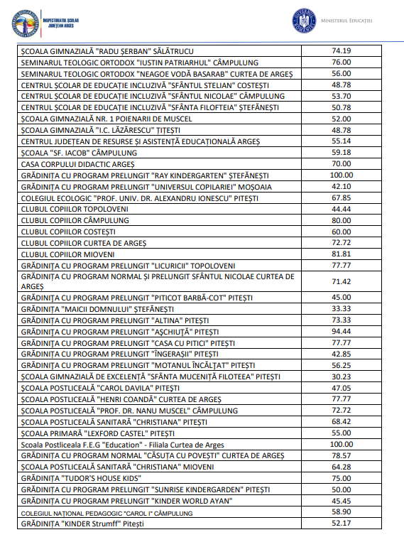
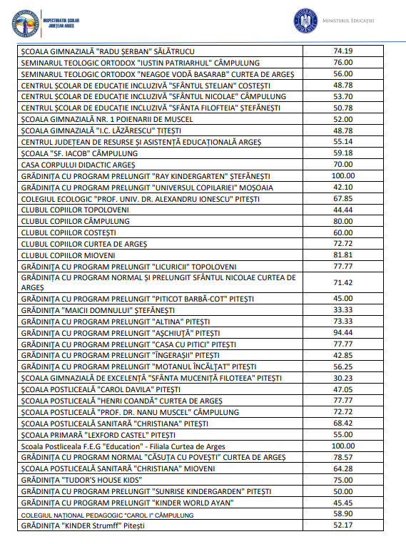
Grădinițele, școlile și liceele ar urma să fie redeschise luni cu prezență fizică doar acolo unde procentul de vaccinare anti-COVID în rândul personalului este de minimum 60%.
„Conform discuțiilor de până acum, se conturează un prag de vaccinare de 60% în rândul personalului școlii pentru a funcționa cu prezență fizică. Decizia finală se va anunța mâine, la ora 10:00, la sediul Ministerului Educației”, a comunicat în această seară ministrul Educației, Sorin Cîmpeanu.
Iată care erau ratele de vaccinare în unitățile de învățământ preuniversitar din județul Argeș la data de 2 noiembrie (data celei mai recente actualizări oficiale de la Inspectoratul Școlar):
(Foto: Colegiul „I.C. Brătianu” din Pitești)






